星空外围权威网

关键字: 热门搜索: 起重机 | 挖掘机 | 装载机 | 泵机 | 压路机
您当前的位置: 星空外围权威网 > 资讯中心 > 挖掘机频道 > 挖掘机械新闻
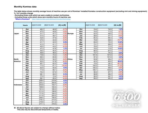
9月中国地区小松挖掘机开工小时数为95.3小时,同比增长6.9%
3zq1lk.cn   2024-10-21  中国工程机械信息网

  近日,小松官方公布了2024年9月小松挖掘机开工小时数。数据显示,9月中国地区小松挖掘机开工小时数为95.3小时,同比增长6.9%。

图片

  2024年9月,欧洲、中国、印尼地区的小松挖掘机开工小时数同比增长,日本和北美区域均出现下降。具体数据如下:

  日本9月小松挖掘机开工小时数为46.5小时,同比下降0.4%;

  

  欧洲9月小松挖掘机开工小时数为74.3小时,同比增长0.8%;

  北美9月小松挖掘机开工小时数为65.4小时,同比下降5.3%;

  印度尼西亚9月小松挖掘机开工小时数为216.5小时,同比增长2.6%。

来源:互联网    打 印    关 闭
友情提醒 本信息真实性未经中国工程机械信息网证实,仅供您参考。未经许可,请勿转载。已经本网授权使用的,应在授权范围内使用,并注明“来源:中国工程机械信息网”。
特别注意 本网部分文章转载自其它媒体,转载目的在于传递更多行业信息,并不代表本网赞同其观点和对其真实性负责。在本网论坛上发表言论者,文责自负,本网有权在网站内转载或引用,论坛的言论不代表本网观点。本网所提供的信息,如需使用,请与原作者联系,版权归原作者所有。如果涉及版权需要同本网联系的,请在15日内进行。
更多>>专题推荐
关于6300 | 本网动态 | 联系方式 | 免责声明 | 版权信息 | 法律顾问
客户服务:6300@3zq1lk.cn 服务热线:0754-88363699 商事QQ:1594591502
工程机械信息网 Copyright[c]1999-2025 All Rights Reserved 汕头市九鼎科技有限公司 版权所有
《中华人民共和国增值电信业务经营许可证》编号:

×关闭

网络正规朗驰娱乐(官方)网站/网页版登录入口/手机版登录入口-最新版(已更新) 朗驰娱乐最新真人推荐(官方)网站/网页版登录入口/手机版登录入口-最新版(已更新) 最大利记体育(官方)网站/网页版登录入口/手机版登录入口-最新版(已更新) 朗驰娱乐盘口导航(官方)网站/网页版登录入口/手机版登录入口-最新版(已更新) 朗驰娱乐最新知名盘口(官方)网站/网页版登录入口/手机版登录入口-最新版(已更新) 真人知名腾曜集团盘口(官方)网站/网页版登录入口/手机版登录入口-最新版(已更新) 永利十大足球网(官方)网站/网页版登录入口/手机版登录入口-最新版(已更新) 雷火竞技靠谱足球网(官方)网站/网页版登录入口/手机版登录入口-最新版(已更新)